《The Mathematics of Poker》中文翻译
感谢梅有钱(梅老板)的合作翻译(这一篇都是他翻的!),以后应该会恢复每周一次更新。
第十二章
高盲注单挑:全下或弃牌游戏
在第十一章,我们讨论了3种半街玩具游戏。对于每种游戏,我们都能找出最优策略——游戏的完整解答。解决这些玩具游戏相对于实际扑克里非常有用,因为每个游戏里都有我们可以应用到实际扑克中的地方。从某种意义上说,他们的实际意义比重要,因为通常而言,实际扑克游戏因为过于复杂而无法直接解决,即便是用计算机辅助。
在本章,我们会用一个玩具游戏作为奠基石,然后讨论并且计算解答,并且应用到每天都会碰到的无限注德州扑克情况里。最终会给出单挑德州扑克里的,当第一个玩家需要全下或者弃牌时的解答。
我们在这里半街游戏中间讨论这个游戏,即使他们结构上有细微差异,因为实际上,他们比起其他游戏更类似半街游戏。当我们看全下或弃牌游戏时,比起考虑摊牌前价值,我们会更多考虑整个游戏的价值。因此这里第一个玩家的决策是类似半街游戏里Y的。他可以弃牌(类似过牌)是他的价值为0,或者他可以根据游戏选择一个下注大小,等待对手跟注或者弃牌。从这个角度而言,全下弃牌是半街游戏的一个延伸版。
在开始讨论这个游戏之前,我们希望读者从直觉出发考虑下面的问题,答案会在分析过程中给出。有些如果知道全下弃牌游戏的读者应该已经知道答案了。
两个技术相同的玩家在单挑德州扑克里对战,而庄位必须全下或者弃牌。每人都有16个筹码在开始时,盲注是庄位1个,大盲2个。那么,庄位的最优策略应该是全下多少比例的牌?
我们现在开始讨论第一个玩具游戏,也就是静态手牌价值在[0,1]之间的简化版全下或弃牌游戏。
牌例 12.1 [0,1]的全下或弃牌游戏#1
双方都有S单位的筹码量。
双方都从[0,1]之间随机获得一个数字。
不在庄位的玩家(我们称之为,防守玩家,X)放入一个单位的大盲。
庄位(我们称之为,进攻玩家,Y)放入0.5个单位的小盲,并且率先行动。
进攻玩家可以选择全下S单位,或者弃牌,放弃小盲。
如果进攻玩家全下,那么防守玩家可以选择跟注或者弃牌。
如果摊牌,则数字更小的玩家赢下底池。
首先注意到的是,这游戏的进攻玩家只有2个选择,全下或者弃牌。当一个玩家有2个策略选项时,其中一个是把钱放入底池,而另一个是弃牌;用比弃牌更差的牌下注肯定是一个被主导的策略。因此,第一个玩家的策略只有2个区域,全下的强牌和弃牌的弱牌。同理,第二个玩家会跟注最强的牌,而弃掉最弱的牌。不像其他情况里,我们会用最差的牌混合最好的牌,在这里没有意义。实际上,如果我们全下频率是x,那么用最强的x全下就会统治其他全下的组合。
2个玩家的策略就可以直接表达成2个数字,进攻策略y和防守策略x。这两个数字就是阈值:用比y更好的牌全下,用比x更好的牌跟注。
另外,我们知道y和x在最优策略里会是无差别点。这就意味着当Y(进攻玩家)拿着手牌y时,自己的全下或者弃牌无差别。同理,当X(防守玩家)拿着手牌x时,自己的跟注或者弃牌无差别。我们也知道X不会用比y更差的牌跟注,即Y的全下阈值——如果他这么做了,他永远不会赢下底池。利用这个信息,我们可以直接用无差别方程解决这个游戏,正如最后一章里。对于这个游戏,我们用不同于通常的办法,计算整个游戏的价值,包含盲注在内。
Y弃牌的期望就是-1/2个单位(失去小盲)
< Y, 弃牌 > = -1/2
因为X永远不会弃掉比y更差的牌,所以X跟注的时候总是能赢。那么用y全下的期望就是:
< Y, 全下|y> = (防守玩家跟注) × (-S)+ (防守玩家弃牌) × (+1)
对于[0,1]之内的均匀分布而言,一个分段的概率就等于那部分的长度。防守玩家跟注x的频率,弃掉1-x。
< Y, 全下|y> =(x)(-S) + (1-x)(+1)
< Y, 全下|y> =- x S + 1 – x
我们知道在阈值点上,Y的弃牌和全下无差别。因此这两个策略选项的期望应该相等。使这两个相等:
- x S + 1 – x = -1/2
x(1 + S) = 3/2
x= 3/(2 + 2S)
弃牌给全下的期望是-1,而跟注在阈值x时的期望是:
进攻玩家全下总共y的牌(我们知道x< y因为X永远不会用比y更差的牌跟注),这些牌例(y-x)/y比跟注范围x要差,而x/y部分要更好。
比如Y用50%的手牌全下,那么这里X只需要跟注30%。(y=0.5, x=0.3),那么(y-x)/y=2/5的Y全下范围会比X跟注范围更差,剩下的x/y=3/5可以战胜Y的全下范围。
< X, 跟注|x > = p(Y赢)(-S)+p(X赢)(+S)
< X, 跟注|x > = (x/y)(-S)+((y-x)/y)(+S)
< X, 弃牌> = -1
使两者相等,从而X的跟注和弃牌无差别,我们得出:
(S) ( y-2x )/y= -1
Sy – 2Sx= - y
S – S2x/y= -1
y = S2x/(S+1)
回顾公式12.1
替换x= 3/(2 + 2S)
y= 3S(1+S)2
这两个方程就是这个游戏的最优策略:进攻玩家全下3S(1+S)2部分的牌,然后防守玩家跟注 3/(2 + 2S)的牌。我们可以直观来测试一下这些答案。比如,假设筹码量是5单位,进攻玩家全下(3(5)/(1+5)2=15/36的牌,防守玩家跟注(3/2+2(5))= ¼的牌。当筹码量是10个单位时,进攻玩家全下30/121的牌,而防守只需要跟注3/22的时候。我们可能看到当筹码量在极端情况,比如说100万时,双方的频率都接近于0。
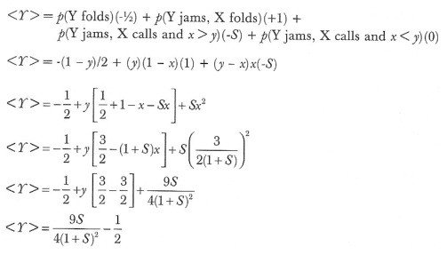
那么这游戏对于进攻玩家还是防守玩家有利呢?我们可以从游戏的价值表中判断。这里我们还是用矩阵的方法来看各种可能。

当进攻玩家弃牌时,防守玩家赢0.5单位。这个会发生在1-y的时候。
当进攻玩家全下,而防守玩家弃牌时,进攻玩家赢1个单位。这会发生在y(1-x)的时候。
当进攻玩家全下而防守玩家跟注时,会发生两种情况。第一种是双方都在跟注阈值内,这样的话,他们打平,因为大家从0到x的概率是相同的,所以他们的分布也相同。第二种情况是当进攻玩家高于防守玩家的阈值。那么防守玩家赢S单位。通常会在进攻玩家用比防守玩家跟注阈值更差的牌全下时才会发生,并且防守玩家有(y-x)/x的概率跟注。
所以我们有:

用了这个函数,我们可以看到随着筹码量从1增加到无限多时,游戏的价值变化情况。当筹码量从1到2时,游戏对进攻玩家是有利的,而当高于2个单位时,游戏偏向防守玩家。当筹码量趋于无穷时,防守玩家的优势就变成了0.5,当每次进攻玩家弃牌时他都获胜,因为进攻玩家必须弃掉足够多的牌。综上所述,这个游戏对于进攻玩家是非常不利的。

当我们打牌时,翻前最好的牌并不总是能赢。实际上,与此大相径庭。即使防守玩家跟注一个相对较强的范围,进攻玩家还是通常只有不到33%的赢率在底池里。所以我们下一个玩具游戏会是之前的变形,即使最差的翻前手牌在摊牌也有33%的赢率。







